绿帽小说
绿帽小说
绿帽小说概况
绿帽小说简介
历史沿革
学院领导
行政机构
学术机构
工作动态
师资力量
创新群体
新世纪优秀人才
博士指导教师
硕士指导教师
教授
副教授
助理教授
本科班主任
学科介绍
国家重点学科
部省重点学科
博士点学科
硕士点学科
大学教学
本科生教学
研究生教学
博士后继续教育
国家级教学基地
科学研究
研究方向
研究成果
在研项目
应用成果
科技论文
科研信息
科研机构
国家级科技平台
部省级科研平台
各级研究所
研究中心
测试平台
学生园地
通知公告
思想教育
青春风采
奖助补贷
资料下载
本科招生专栏
绿帽小说 工作
校庆信息
绿帽小说 名录
知名绿帽小说
绿帽小说 来函
绿帽小说 作品
绿帽小说信息
绿帽小说信息
绿帽小说信息
当前位置:
绿帽小说
>>
绿帽小说信息
>> 正文
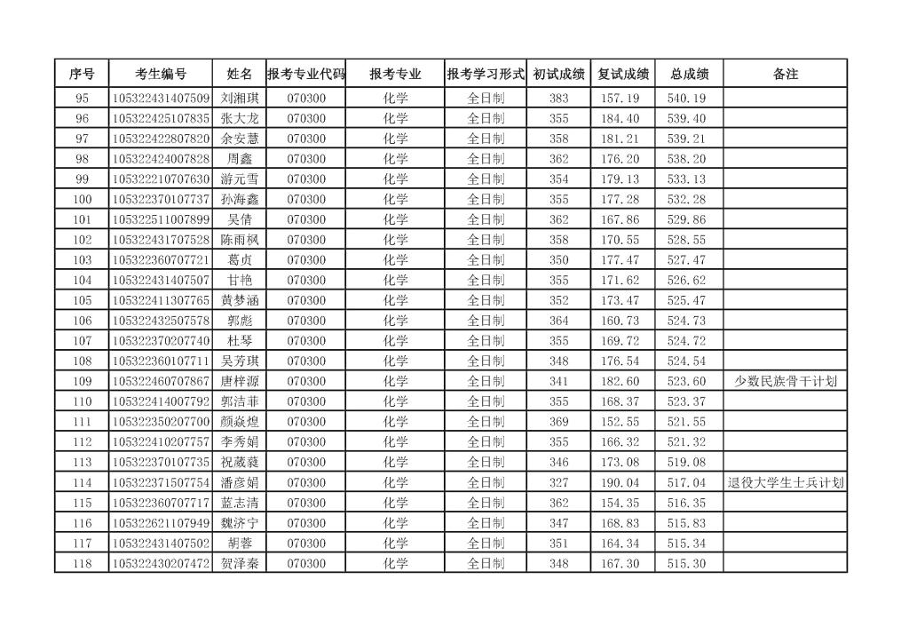
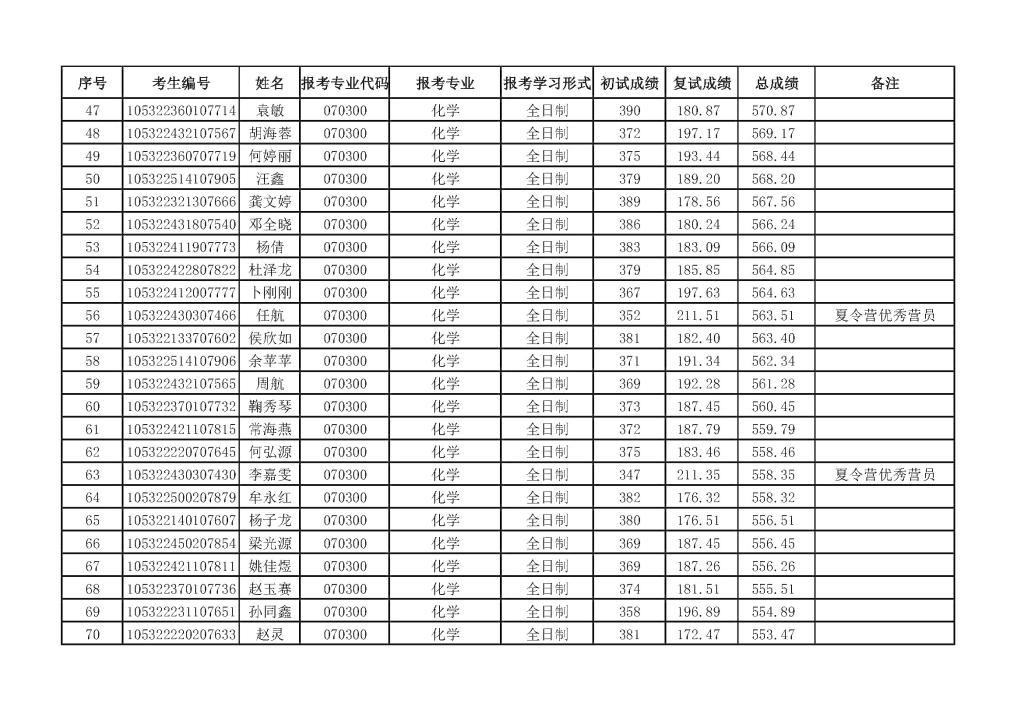
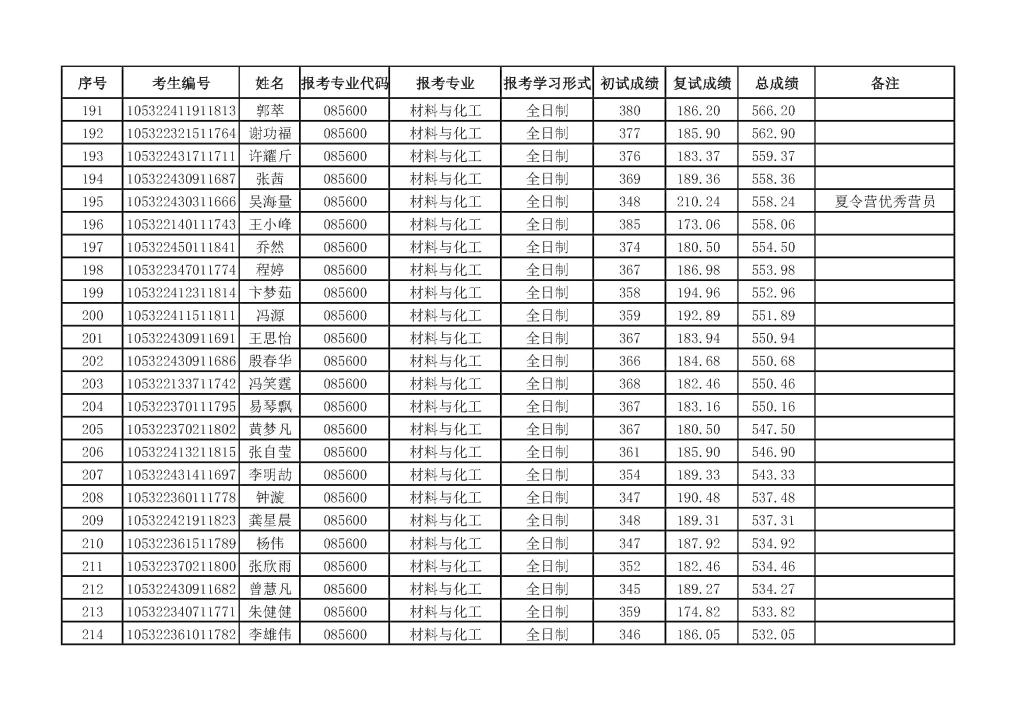
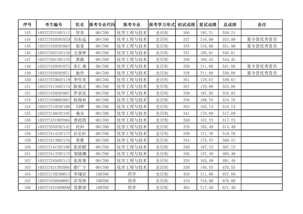
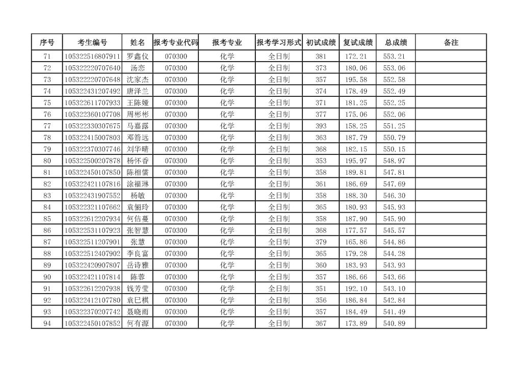
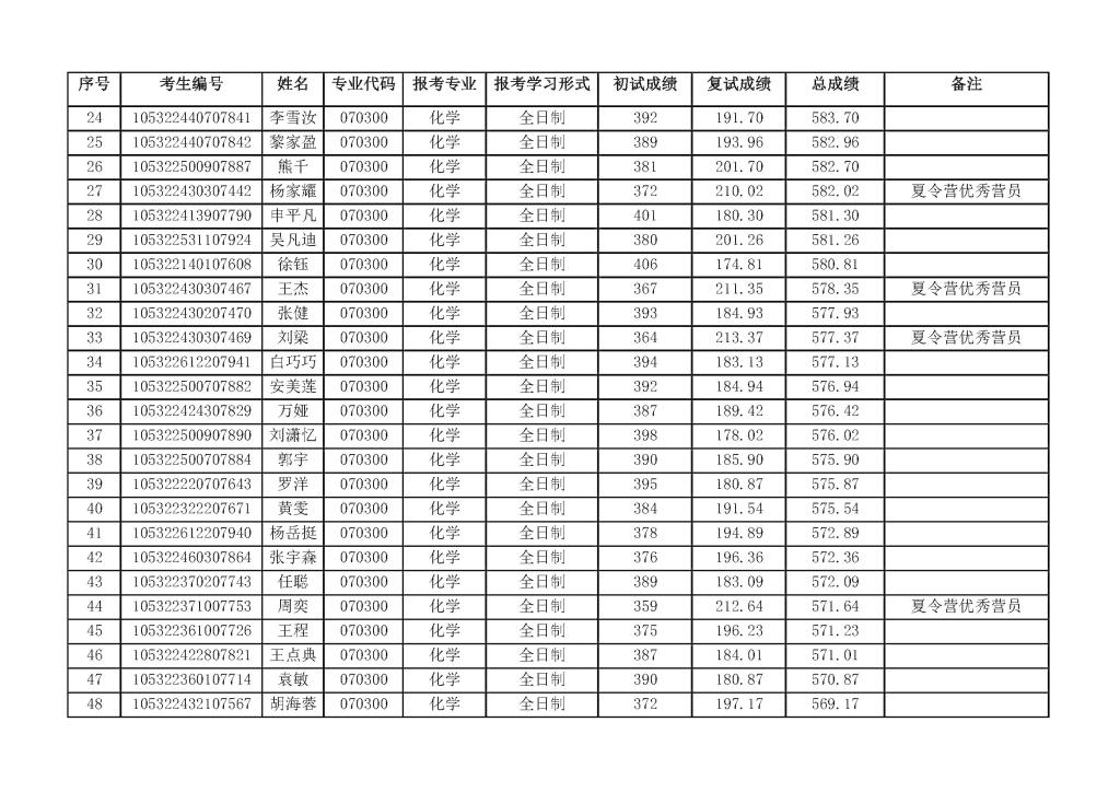
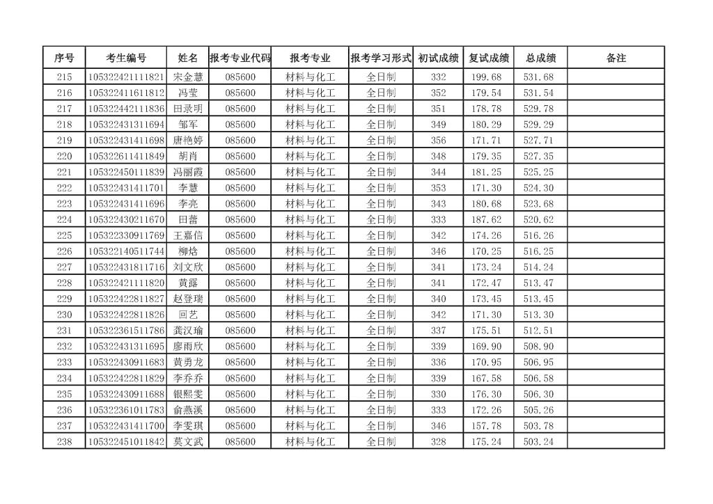
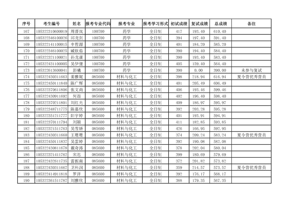
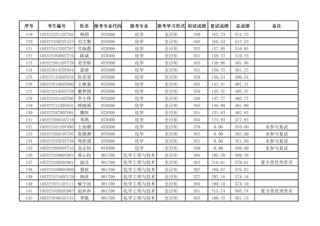
绿帽小说 2022年硕士研究生招生复试成绩公示
通讯员:
发布时间:
2022-04-04
浏览量:
次
上一条:
绿帽小说 2022年硕士研究生拟录取名单
下一条:
绿帽小说 绿帽小说 2022年硕士研究生招生考试复试面试的通知
微信
微博
返回顶部